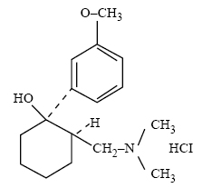
ТРАМАДОЛ (трамадолу гідрохлорид, Melanate, Limadol, Tradonal Retard, Tramal, Tramundin Retard, Ultram, Zydol, Biovail, Crispin) — RR,SS-тpaнc-2-[(диметиламіно) метил]-1-(м-метоксифеніл) циклогексанолу гідрохлорид.
C16H25NO2 · HCl Мол. м. 299.84

АФІ синтетичного походження. Білий кристалічний порошок без запаху, гіркий на смак. Розчинність при 20 ˚С (г/100 мл) у воді — 29,8; 0,1 М НСl — 34,9; метанолі — 30,3; хлороформі — 1,96; ацетоні — 0,93; петролейному етері — 0,38. Тпл — 180–184 ˚С, рН 1% водного розчину 5,4, рКа 9,4, УФ-спектр у воді та в 0,1 М розчині кислоти хлористоводневої (lmax=272±2 нм),
= від –0,10˚ до +0,10°. Ідентифікують методом ІЧ абсорбційної спектрофотометрії, хроматографічними методами (тонкошарова, рідинна хроматографія та електрофорез на папері), також використовують кольорові, осадові та мікрокристалоскопічні реакції.
Для кількісного визначення використовують екстракційно-фотометричну, УФ-спектрофотометричну, а також іонометричну методики та метод рідинної хроматографії. Фармакологічна група. N02AX02 — oпіоїди. Фармакологічний ефект. Активує опіатні рецептори (μ-, Δ-, κ-) на пре- і постсинаптичних мембранах аферентних волокон ноцицептивної системи в головному мозку і ШКТ (сприяє відкриттю K+— і Ca2+-каналів, викликає гіперполяризацію мембран і гальмує проведення больових імпульсів); вплив на μ-рецептори зумовлює супраспінальну анальгезію, ейфорію, фізичну залежність, пригнічення дихання, збудження центрів блукаючого нерва; стимуляція κ-рецепторів викликає спінальну анальгезію, седативний ефект, міоз; знижує емоційну оцінку болю; може викликати розвиток фізичної залежності та звикання; порівняно з морфіном має слабшу та коротшу знеболювальну дію, при цьому менше пригнічує дихальний центр, а також менше збуджує центр блукаючого нерва і блювальний центр, не викликає спазму гладких м’язів; переноситься краще, ніж морфін. Уповільнює руйнування катехоламінів, стабілізує їх концентрацію в ЦНС, посилює дію седативних ЛП.
Застосування. Гострий і хронічний больовий синдром сильної та помірної інтенсивності різної етіології (поранення, перелом, сильна невралгія, біль, спричинений наявністю пухлини, біль після діагностичних і терапевтичних процедур).
Ахмедов Е.Ю., Болотов В.В., Зареченский М.А. Разработка и исследование твердоконтактного ионоселективного электрода на трамадол // Фізіологічно активні речовини. — 2001. — № 2(32); Ахмедов Е.Ю., Болотов В.В., Карпушина С.А. Застосування тонкошарової хроматографії, кольорових реакцій та електрофорезу на папері для виявлення трамалу // Вісн. фармації. — 2000. — № 1 (21); Державний формуляр лікарських засобів. — К., 2009; Машковский М.Д. Лекарственные средства. — М., 2010. — Т. 1; European Pharmacopoeia 6.0; Clarke’s isolation and identification of drugs. — Ed. A.C. Moffat. — London, 1986.
